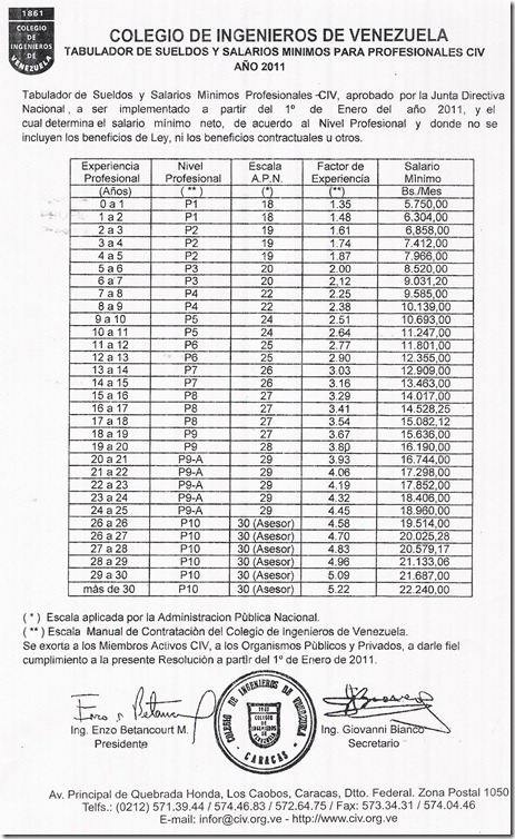
Tabulador Colegio de Ingenieros 2011
Saludos lectores, les dejo el tabulador para este año del colegio de ingenieros.

Es aquí cuando uno se hace las grandes preguntas: ¿y yo por qué no gano eso?, ¿para que sirve entonces este tabulador?, ¿la empresa cobra por mi eso?, ¿por qué no le hice caso a mi mamá y estudie medicina?
Bueno ya en otra oportunidad publique este tabulador y el comentario es el mismo, aquí en Venezuela debería existir un mecanismo que garantice el justo sueldo para los ingenieros que tanto aportamos al desarrollo de la nación, lamentablemente parece que eso esta en manos de los políticos, que a mi juicio son la causa de las guerras, el hambre, el AH1N1 y demás azotes de la raza humana.
PD: Ya tengo trabajo de nuevo, gracias por todo el apoyo que me dieron durante el problema. Pronto voy a publicar una hoja en Excel de coordinación de protecciones, estén pendientes!
SALUDOS AMIGO, ese tabulador le sirve es solo a los contratistas y dueños de consultoras, ellos cobran eso por cada profesional pero para pagar siempre salen con el cuento de que la crisis, de que no tienen, la ganacia esperada y juegan con el famoso bozal de arepa del trabajador, al final jamas lo pagan y al aprecer el colegio de ing anda en conchupancia con los dueños de las empresas y consultoras por que nunca se pronuncian jamas emite o dicen nada.¿cuando sera que el gremio se pronuncie? uno paga una membresia en el civ para que si jamas han defendido a nadie su justo sueldo. siempre seguiremos haciendo rico al que ya lo es...
ResponderEliminarESTIMADO AMIGO ME GUSTARIA SABER DONDE PUEDO CONSEGUIR UN TABULADOR DE INSTALACIONES EN REFRIGERACION YA QUE YO SOY TECNICO EN REFRIGERACION Y COBRO A LA VISTA GRACIAS Y ESPERO TU RESPUESTA
ResponderEliminar